“风险预期”与“回报预期”下的理性更新
2026-01-21
一般认为,当土地的租差达到足以覆盖更新所需的各项成本,且能产生令所有参与者都满意的收益时,更新行动就会发生。但现实中诸多实证结果与上述认知不符。文章从个体更新决策的思维模式研究入手,指出影响个体作出更新决策的“风险预期”和“回报预期”,借助理性预期学派的理论分析方法,从个体决策的风险和回报角度,分别构建“风险预期决策模型”和“回报预期决策模型”,进而提出城市更新决策的逻辑“连续统”,进一步通过对个体“风险代价极值”和“回报门槛下限”规律的揭示,限定更新启动的选择区间,进而阐明更新中个体理性决策的现实逻辑。 “ 作 者 刘 迪 中国城市规划设计研究院上海分院副总规划师,正高级工程师 王 瑜 湖南大学建筑与规划学院博士研究生 李博涵 中国城市规划设计研究院上海分院城市规划师
国家“十四五”规划提出实施城市更新行动,城市更新开启从“法”到“治”的系统性基础建构。为保障更新能启动、易启动,市场主体及产权人愿意启动、愿意配合城市更新,各地相继出台了城市更新条例(办法),从成本收益、利益平衡、更新奖励等方面制定了一系列激励性政策。其潜在的更新促进逻辑认为:对象经更新升级后能够实现资产增值或增进现金流收益,只要资产增值部分或现金流增值贴现部分能够覆盖更新投入,更新就会发生。然而,从颁布条例城市的更新实践来看,很多实证结果与上述逻辑假设不符。例如,许多地块在增量扩容、土地转性等政策的加持下,已经具备“租差效应”等收支平衡的财务条件,却没有市场主体愿意介入;有些地块通过更新能够获得显而易见的收益增量,市场主体或产权人却没有更新启动的意愿;还有些地块的更新收支已获平衡且更新后经营效益明显改善,但更新投资主体反响平平,甚至认为更新影响了其整体投资业绩。因此,有必要从市场参与的视角分析更新启动的“行动决策逻辑”和“投资决策逻辑”,厘清真实情境下市场主体及产权人的决策逻辑。这将有利于促进城市更新实施并为相关政策制定提供参考。
下文将从更新决策的思维模式切入,分析影响个体决策的“风险预期”与“回报预期”,运用理性预期学派的分析方法,从“风险”和“回报”维度分别构建决策模型,进而总结提出城市更新决策逻辑的“连续统”,以揭示个体“风险代价极值”与“回报门槛下限”等规律,并阐明个体理性决策的现实逻辑。
01 城市更新决策与个体预期
所谓“决策”,指对是否采取某一行动的判断,城市更新决策就是个体对是否启动更新的判断。所谓“预期”,指个体在决定其行动时,对未来形势或变化所作的预估。按照行为心理学的解释,个体行动并不直接受行动结果的影响,而是由个体对行动的预期所决定,即“预期效应”。例如,市民在决定是否要买房时,通常并不是当资金充足后就马上买入以获得住房的使用价值,而是按照自身对未来房价的预期选择买不买和买入(行动)的时间。
城市更新也同样如此。假设每个更新主体都是理性人,个体行动倾向趋利避害。在面临更新决策时,个体首先会对更新投入的风险进行评估,预估更新行动的利害得失,即更新能否带来比现状更好的收益。如果预期不会比现状更好,甚至当预期更新后获得收益增长的概率较低时,更新就不会成为个体的决策选项;如果预期更新能够带来比现状更好的收益,个体会在其所有能选择的选项中比较哪个选项的“投入—产出”效率最高,最终的决策是个体认为能够实现收益增长且“投入—产出”效率最高的那个选项。个体决策就是在上述思维累进中反复对各种潜在的行动进行权衡取舍的过程。其中,前者对更新中潜在风险的预估,可称为“风险预期”;后者对更新“投入—产出”效率的判断,可称为“回报预期”。现实中,个体的更新决策实际上是通过对“风险预期”和“回报预期”的加总后判断作出的:决策者在作出决策时,首先考察风险,其次考察回报,最后在风险可承受范围内通过比较回报水平来作出选择。
1.1 个体的“风险预期”与更新决策
经济学中的风险,指个体从事任何可能获得收益的行动时,因该行动而导致的收益或损失的不确定性。风险在任何经济行为中普遍存在,不以人的意志为转移,即“风险面前人人平等”。决策者只能使用一定措施来降低风险,而不能完全消除风险。投入更新并不一定会带来比更新前更好的现金流收益,个体在决定是否进行更新时存在决策风险。因此,个体在作出决策时首先会考虑控制风险,划定行动的安全边界,使行动的风险可控,即一旦风险发生,付出的代价在可以承受的范围之内。可以说,个体的理性决策在某种程度上就体现为其对行动风险的认知和把控能力。
1.2 个体的“回报预期”与更新决策
个体一旦决定启动更新,就意味着放弃了通过投入其他行动而获益的机会。因此,个体启动更新的第二个潜在影响是对其他获益行为机会的错失。任何个体在作出选择时都会力图控制自身的机会成本付出。而一旦作出更新决策,如何通过更新获得更好的投入回报来对冲机会成本的损失,成为个体理性行为的必然选择。因此,个体会追逐投入的回报效果,热衷于“回报预期”和回报比选。即使更新后能获得更好的收益或现金流状态,但因更新需付出的机会成本过高,以至于在同等投入水平和一定时间周期内,更新收益的效率低于另作他用时的回报效率,个体也不会选择更新。因此,个体的理性更新决策也体现为其对更新回报的判断。
可见,个体的更新决策实际上是建立在个体对更新的“风险预期”和“回报预期”的连续判断基础上的理性选择结果。因此,量化研究“风险预期”和“回报预期”,有助于理解真实世界中个体作出更新决策时的行动选择逻辑。
02 城市更新中的“风险预期”
某一经济行为的风险决策,既含有普遍存在的客观风险,也含有由决策人认知水平和偏好差异导致的主观风险。城市更新也同样如此,更新结果的客观风险是普遍存在的不确定性。更新完成后,或益或损的更新结果都有可能出现。例如,当更新完成时,如果社会需求增长,则更新产品可能获得超出预期的行动收益;如果社会需求保持平稳,则更新收益可能与预期值近似;如果社会需求疲软,更新后可能出现收益不及预期甚至亏损的局面。而更新的主观风险在于个体认知能力和行动能力的差异。
2.1 “风险预期”下的更新决策
2.1.1 更新风险的度量
个体对更新结果的判断,实质上是对期望结果发生概率的判断。假设将更新后每一种可能出现的结果规定为一个基本事件,按照上文的推理逻辑,基本事件具有随机性,某一指定的结果可能发生也可能不发生。如果把必然发生的概率定义为1,把一定不会发生的概率定义为0,则基本事件的所有结果中任一结果的发生概率为0~1。概率越大,代表该特定结果发生的可能性越大;反之,则发生的可能性越小。无论基本事件有多少种可能的结果,每种结果发生的概率总和为1。
在风险客观存在的情况下,个体既会考虑更新行动的最有利结果,也会考虑最不利结果,并结合各种结果的发生概率,综合得出更新的预期结果。在所有结果中,收益最大和损失最大的结果就是更新行动的风险极值,将各种益损结果按照其发生的概率加权后求得的平均值,可称为“风险益损幅度”。显然,不同行动的风险益损幅度不同,益损幅度代表了不同行动风险大小的绝对值。风险益损幅度与预期收益相除,可得到更新行动的“风险益损度”。风险益损度代表风险益损值相较行动收益值的相对偏离程度,是与行动收益直接挂钩的相对值,而非风险益损的绝对值。因此,风险益损度更能反映风险对决策的影响。
2.1.2更新风险的代价极值
当个体面临行为决策时,即使行为结果遵循“高风险—高回报”的一般规律,个体也并不会为了追求高回报,而任由风险无限升高。个体对风险的承受能力存在极限,当风险超过这一极值时,个体会因期望结果未发生时需付出的代价过高而放弃“铤而走险”。换言之,个体对某一能获益的经济行为的付出存在主观上的代价极限。如购买股票可能获得超预期的收益,但也可能造成超预期的亏损。因此,人们不会把所有资产都投入购买股票。更新行动的决策与上述情况类似。基于更新结果的不确定性,个体不会把其可支配资产都投入更新,为了防范可能的更新损失,无论更新的潜在收益如何,每个更新主体都会设定更新行动付出的代价极值。当更新的投资估算超过这一极值时,个体就会放弃该行动选项。
2.1.3更新风险的决策
个体作出更新行动决策,是通过比较更新行动与其他行动之间的风险和回报来作出判断的。当两种行动的预期回报结果相同时,风险益损度越大的行动,风险越高,个体通常会选择同样回报水平下风险更低的行动;当两种行动的预期回报与预期风险均不同时,需要分别比较两者的“回报预期”之商和“风险预期”之商来作出权衡判断。
需要指出的是,更新主体在作出更新决策时,其决策往往会受到现状空间业态经营状况的影响。作出更新决策前,如果现状空间业态的利润情况低于行业平均水平,更新主体倾向于采取激进型更新,通过更新来改变相对亏损(相对于行业平均利润水平)的状态,增加不确定性,扩大风险益损度;如果现状空间业态的利润情况高于行业平均水平,更新主体在面对确定的收益时,通常倾向于选择保守型更新或不更新,以减少不确定性,努力控制更新行动的风险益损度。即面对确定的收益时,人们倾向于规避风险,人人都变得厌恶风险;面对确定的相对损失时,人们变得极具冒险精神,人人都是“冒险家”。
2.2 风险的个体偏好
风险与收益是一对彼此相关的变量,所谓“高风险—高收益”,就是对“风险—收益”组合特征的描述。客观情况下,在最初的各种行动选项中,既有“低风险—高收益”和“高风险—低收益”的行动选项,也有“高风险—高收益”和“低风险—低收益”的行动选项。这些行动的效益曲线如图1所示。曲线上每个点表示该种“风险—收益”组合能够给个体带来相同的满足感,越靠近上方的曲线,代表该曲线的“风险—收益”组合能给个体带来的满足感越高。

图1 “风险—收益”等效组合曲线
Fig.1 Risk-return equivalent combination curve
资料来源:笔者自绘
其中,曲线A为“低风险—高收益”曲线,曲线E为“高风险—低收益”曲线,中间的曲线B、C、D为“高风险—高收益”或“低风险—低收益”曲线。如假设存量更新的“风险—收益”曲线是B,则房地产开发的“风险—收益”曲线则近似于A,个体的更新决策就是要在众多“风险—收益”曲线中作出损益比较后的权衡取舍。通常个体在曲线A“低风险—高收益”和曲线E“高风险—低收益”的行动选项中很容易作出选择,但当面对曲线B、C、D时,则会出现“选择困难症”,且更新的“风险—收益”往往就是曲线B、C、D甚至是E中的一条。因此,需要从个体的“风险—预期”角度对更新行动进行权衡比选。
个体针对曲线B、C、D作出“风险—收益”的权衡选择时,通常因人而异(图2)。由于每个人对风险的厌恶程度不同,厌恶系数越高的个体(个体A),面对同样的风险,需要更高的收益刺激才能促使其作出选择。因此,当面对同一更新行动选项时,即使在“风险预期”趋同的情况下,个体偏好的存在也会使个体作出不同的选择。

图2 不同个体间风险偏好曲线
Fig.2 Risk preference curve among different individuals
资料来源:笔者自绘
03 城市更新中的“回报预期”
3.1 “回报预期”下的更新决策
3.1.1 更新的成本
“成本—回报”是更新行动必须考虑的基本循环,低于成本的更新回报必然导致入不敷出和难以为继。因此,成本是对更新回报的底线约束,必须仔细考量城市更新的各类成本。从“存量—增量”的资源投入维度看,更新的约束成本可分为两类。
(1)城市更新中的存量损失
沉没成本的约束。个体一旦决定更新,其对原有空间业态的历史投入,以及在原有空间业态正常经营基础上的长期现金流收益,都将成为更新行动的沉没成本。可以认为,从更新行动决策作出的这一刻起,更新就背负着对存量资产损失折现和存量经营现金流中断的沉没成本。
(2)城市更新中的增量投入
新增成本的约束。更新行动作为一种以资本或其他等价物形式的投入,个体必然考虑新增投入的回报效率,即新增成本对回报强度的底线要求。理论上,资本只要投入生产,经过一定时间的使用后就会增值,即资本的时间价值(现实中体现为银行利率),资本通过不断循环,实现增值累进。由于更新过程对资本(或其他类型投入的折算)的占用有时间代价,更新过程对资本占用的时间越少,新增成本的负担就越小。或者说,更新的速度越快,新增成本越低。在同等回报的情况下,更新所占用资本的周转率越高,投资回报的效果(效率)越好。因此,更新回报既要覆盖存量资产损失的沉没成本,又要满足新增资本投入的时间占用成本。只有当更新的“回报预期”高于存量损失成本和增量投入成本的总和时,更新行动才能启动。
3.1.2 更新回报的门槛下限
由更新行动导致的存量损失和新增成本投入,都要求更新回报需达到一定的强度水平。对于更新造成的存量损失,更新行动的底线回报要求应是不低于更新前的现金流收益水平;由于资本投资国债或银行储蓄时几乎可以认为是无风险的投资回报,对于因更新而新增的资本投入,更新的回报应不低于投资国债等无风险回报(图3)。否则,即使投资收益为正,相较于无风险回报而言,其投资也是净亏损的。当某项更新行动的“回报预期”低于“无风险回报”时,就需要外部力量介入进行干预,调节行动投入的回报水平,以推动城市更新。由此可知,更新行动的回报存在最低的门槛要求,其理论上的回报门槛值,应是原经营业态的长期现金流收益与新增资本投入的无风险回报之和。

图3 不同行动的预期回报与无风险回报的关系
Fig.3 The relationship between the expected return of different actions and the risk-free return under different action
注:“时长”用以比较各种行动收益的时间范围,比较一项行动与另一项行动的回报率,通常需要规定在某一同等时长内来进行。
资料来源:笔者自绘
3.1.3 更新回报的决策
一定资本在同一时间内投资的项目不同,其所能产生的增值效果也不同。因此,理性人会比较不同投资的增值回报效率。个体对更新“回报预期”的核心是对更新行动效果的预期,可以用预期值来表示。预期值是个体考量在各种更新益损结果均可能出现的情况下,对结果平均值的估测。个体就某一行动作出预期时,既会考虑该行动最有利结果出现的概率,也会考虑最不利结果发生的概率,预期值就是对该行动各种可能出现结果的概率加权后得到的平均值。这一数值反映了个体对最终结果发生的主观判断。
3.2 回报的个体偏好
在回报预期相同的情况下,个体间也存在选择偏好的差异。机会成本较高的人,在同样的风险条件下会要求更高的回报。对于回报预期相同的更新行动,高收入者会提出比低收入者更高的回报要求,才会愿意启动更新,因为高收入者比低收入者的机会成本高,在同样回报预期的情况下,理性人会比较机会损失。只有当更新行动成为个体所有行动选项中机会成本最低的那一个,它才会被选中。由此推论,在没有外部干预(如政府对更新的贴息、政策扶持、地权和房权归集转换的法律保障等)的条件下,低收入者从事更新行动能够获得比高收入者更大的收益满足感,高收入者因其高机会成本而不愿主动参加更新,或者说当前尚未形成能促进高收入者有效参与的机制通道(如将城市更新对社会公益的增进也转化为“回报预期”的一部分)。
04 基于“风险—回报”预期的理性更新与现实情景
4.1 理性更新的“风险—回报”预期模型与行为决策逻辑
首先,个体基于“风险预期”和“回报预期”对所有行动选项进行预判(图4)。其中,个体面对任一行动时都存在横轴方向(“风险预期”轴线)能忍受的风险代价极值和纵轴方向(“回报预期”轴线)至少需达到的回报下限值。因此,对于要采取某项经济行动的个体而言,任一行动在现实中被考量和比选的“风险—回报”组合应是有限的(图4粗线区段),且每项经济行动都可以作出一个有限选择范围的区间备选段。在备选段上的每个点代表这个行动所能采取的一种“风险—回报”组合(不同的“风险—回报”组合可理解为实现更新目标的不同行动方式),虽然点与点之间的“风险—回报”组合行为方式不同,但各点能够提供给个体的行动感受(即“高风险—高回报”“低风险—低回报”为组合关系的等值感受组合)是相同的。城市更新行动就是诸多供选择的行动曲线中的一条。

图4 “风险—回报”预期模型
Fig.4 “Risk-return” expectation model
资料来源:笔者自绘
其次,个体通过风险益损度和回报预期值对不同行动进行量值比较。通过估算不同行动的风险益损度和回报预期值,分别计算不同行动间的风险益损度之商和回报预期值之商,比较两个商值的大小差距。理性个体倾向选择回报预期值相对更高、风险益损度相对更低的行动。
最后,个体按照自身的风险偏好和回报偏好作出个体性选择。风险厌恶系数低或机会成本较高的个体,将会选择“高风险—高回报”的行动选项,而风险厌恶系数高或机会成本较低的个体,则倾向于保守,会选择“低风险—低回报 ”的行动选项。
4.2 真实情景中的理性更新
现实中,个体要在诸多“风险—收益”曲线相近的行动选项中作出决策,通过对各选项的风险益损度和回报预期值的估测,按照个体的风险偏好作出选择。下面通过实证案例来反映上述个体风险决策的逻辑思维过程。

表1 甲、乙、丙三项行动在不同外部条件下的回报
Tab.1 Returns of actions A, B and C under different external conditions
资料来源:笔者自绘

表2 甲、乙、丙三项行动的回报预期值和风险益损度
Tab.2 Expected value of return and risk-reward ratio of actions A, B and C
资料来源:笔者自绘
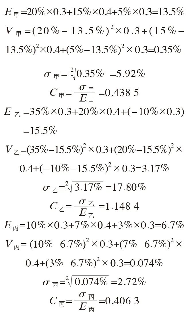
假设个体同时面对包括更新行动在内的三个可选项,三个行动方案在需求增长、需求平稳和需求减少时会产生不同的行动收益。假设行动完成时,出现需求增长的概率为0.3,出现需求平稳的概率为0.4,出现需求减少的概率为0.3,对应三种行动方案的收益情况(表1),可以计算得到甲、乙、丙三项行动的回报预期值,分别为13.5%、15.5%和6.7%,三项行动的风险益损度分别为43.85%、114.84%和40.63%(表2)。甲、乙、丙三项行动回报预期值和风险益损度的计算过程如下所示。

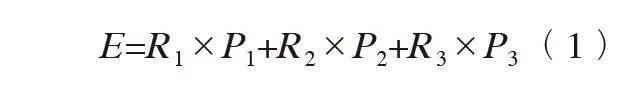
式中,E为行动的回报预期值;R1为需求增长时的回报;P1为出现增长的概率;R2为需求平稳时的回报;P2为出现平稳的概率;R3为需求减少时的回报;P3为出现减少的概率。

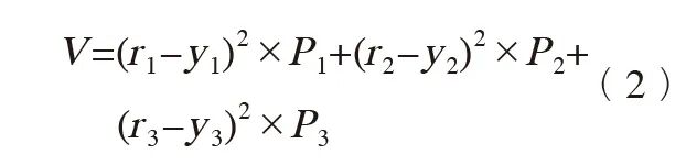
式中,V为方差;r1为需求增长时的行动回报;y1为行动回报的预期值;P1为出现增长的概率;r2为需求平稳时的行动回报;y2为行动回报的预期值;P2为出现平稳的概率;r3为需求减少时的行动回报;y3为行动回报的预期值;P3为出现减少的概率。

式中,V为方差;σ为标准差;C为风险益损度;E为行动的回报预期值。
分别计算甲行动、乙行动、丙行动的回报预期值,计算过程如下:

从计算结果可知,甲行动的回报预期值是丙行动的2倍(13.5%/6.7%),但风险益损度只相当于丙行动的1.08倍(43.85%/40.63%)。因此,理性选择是选甲行动不选丙行动。同时,乙行动的回报预期值是甲行动的1.15倍(15.5%/13.5%),而风险益损度则是甲行动的2.62倍(114.84%/43.85%),理性选择是选甲行动不选乙行动。因此,一般情况下,个体的决策结果是选择甲行动。但是个体决策也会因人而异,导致实际情况偏离上述理性选择的结果。例如,乙行动虽然风险高,但在经济繁荣时,有机会获得最高35%的收益,对于风险厌恶系数低且追求高收益的个体来说,也可能选择乙行动。当考虑到个体的机会成本时,如果对个体而言,甲、乙、丙三种行动的成本都高于个体当时的机会成本,则个体可能三者都不选,等待后续更好的时机。需要指出的是,在现实中,丙行动的收益预期值及风险益损度与真实情况下的更新收益水平最相似,从侧面佐证了当前更新行动的风险收益的确存在投资性价比缺少市场竞争力的现实。
05 结语与讨论
5.1 结语
更新行动的开启是一切更新内容讨论的原点,现实中,产权人每时每刻都在对各种行动作出预期:评估当下,决策未来,从而作出行为选择。但针对更新能否启动,现有文献多聚焦更新过程本身如何实现收支平衡等财务条件,缺少对真实语境下更新主体如何作出更新预判和决策选择的研究。本研究的现实意义在于从更新发起主体的角度剖析更新启动的内生动力,解释了理性人在利己思维和本位主义的逻辑模式下如何作出更新决策,指出影响更新决策的主、客观因素,通过构建个体预期的“风险—回报”模型,将风险损益度和回报预期值作为个体在比选各行动选项时的“比较系”,并结合个体的风险偏好、机会成本,以及个体在不同情景下的“风险—回报”选择倾向,提出个体作出更新决策时的全过程决策逻辑框架。
5.2 讨论:更新的“供给侧决策”与“需求侧决策”
本文对个体基于“风险—回报”的理性更新决策研究,从供给侧阐述了个体在作出决策时权衡取舍的判断过程。但从整体供需关系的视角看,更新从一种空间经营状态向另一空间经营状态转变,实质上是面向需求的供给改变。更新发起是在供给侧对社会需求的回应,是社会总供需关系的调节和资源再配置。换言之,社会需求才是更新动力的肇始之源。基于此,可以认为,更新并不必然带来地区复兴,有些地区虽然频繁更新,但仍无法挽回走向衰落的态势。当更新行动不能产生持续改善社会需求和缓解社会供给不充分、不平衡的矛盾时,就不会带动城市复兴。
存量时代,当市场总需求与总供给处于动态平衡状态时,更新对原空间从一种经营业态到另一经营业态的改变,有时会形成“零和竞争”局面。即在社会总需求不变的情况下,更新从一种业态改为另一业态的行为将打破原有平衡,使得更新后的产品面临市场上已有同类产品的激烈竞争和优胜劣汰。当更新后进入新领域面临激烈竞争而导致收益小于更新前的状态时,更新行动反而会造成相对负收益。此时,就个体而言,更新不如不更新。如实践中办公楼宇更新为酒店或酒店更新为写字楼,经常会出现上述情况。当更新将空间从一种供给饱和的业态转变为另一供给不足的业态时,对整体而言是“正和博弈”:更新填补了社会供给不充分的需求,产品的供给曲线右移。此时,更新行动将产生相对原状态的正向收益。因此,一次完整的更新行动,除了包含个体对潜在行为风险和回报的预估认知外,还应包括社会需求对更新行动的回应与反馈(需求侧的决策),如此才能评价更新行动对社会发展和地区复兴是促进还是阻滞。限于篇幅,本文对需求侧的更新决策未能展开研究,未来可对此作进一步探索。

